Meena Govinda
Software Engineer
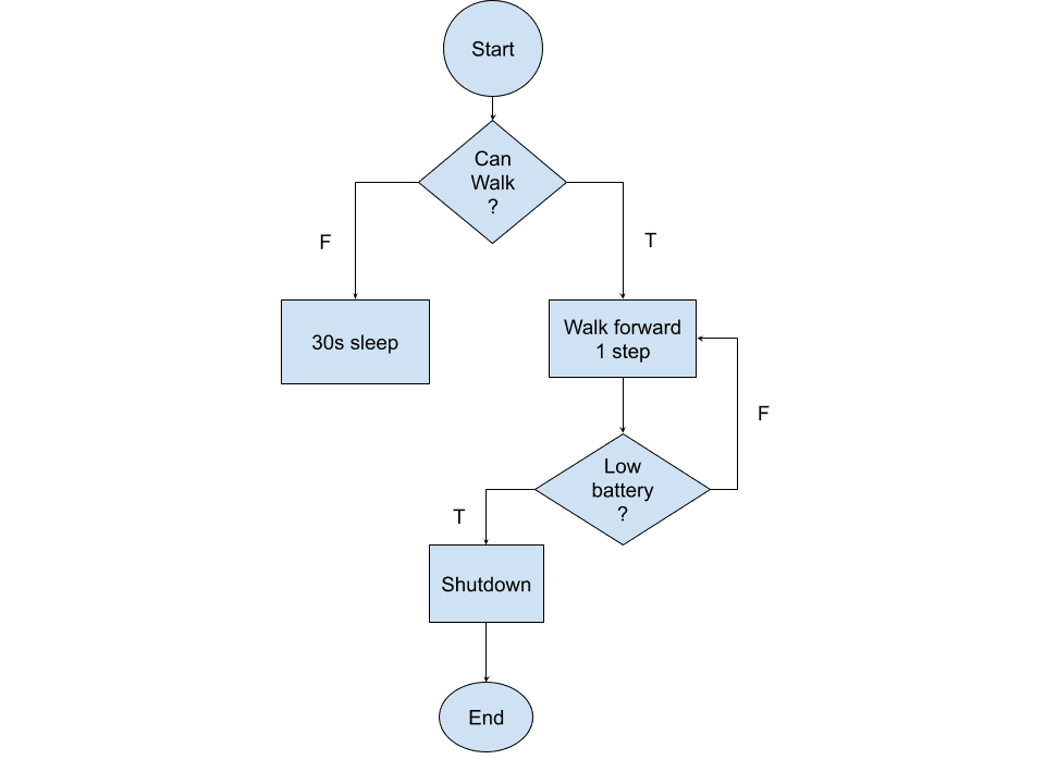
The Autonomous Terrain Navigator
This project involves designing a walking robot that can navigate various terrains autonomously using advanced sensors and algorithms.



Garcia Gomez
App Developer
Movie Information iOS & Android App
Developed an app that provides comprehensive information about movies, including reviews, ratings, and showtimes.



Max Nosov
Fullstack Software Developer
GeeriusAI
This powerful tool empowers you to engage with AI in various exciting ways: from having conversations to generating images, music, text-to-speech and even code.



Jacob Lai
Machine Learning Engineer
A Machine Learning Approach to Flower Classification
FloraClassify is a machine learning project focused on accurately classifying iris flower species using advanced classification algorithms and data visualization techniques.



Showcase Your Project
Create an online portfolio to display your academic, professional, and side projects in a polished and professional manner. With an easy-to-use interface, it simplifies uploading your projects and makes sharing with employers, colleagues, and the rest of your network effortless.

Showcase All Types of Programming Projects!
Web
AI
Games
AppsShare Your Profile On Your


Resume
Add your Displayto profile link to your resume to showcase your projects to potential employers.


Personal Website
Integrate your Displayto profile link into your website to allow visitors to explore and view your projects.


With your Network
Share your Displayto profile with your network to keep them updated on your latest creations.





